Posted On: Saturday - February 22nd 2025 8:51AM MST
In Topics:   Global Climate Stupidity  Science
His name is *Tony* Heller. The Peak Stupidity reader will have to forgive us for occasionally accidentally-on-purpose calling him Toby Heller, Tony Flenderson, or Toby Flenderson. See, this guy is one of the scientists featured in the educational video Climate: The Movie (The Cold Truth). (Please check it out - the whole movie is there.) Tony Heller is a Geologist, Environmentalist, and Electrical Engineer, but a die-hard The Office fan would have a hard time not seeing the uncanny, or at least not very canny at all, resemblance between him and timid, butt-of-the-jokes HR representative Toby Flenderson. That's the case with both his looks and his voice, the latter only of which is in this short video I came upon.
Mr.
The video will appear in the next post, as I really want to get to the math first. Our title here is somewhat facetious itself. "A linear best-fit 'curve'" and "Linear Regression" are the same thing. The joke is that Mr. Heller has expanded the use of Linear Regression to best fit Climate Alarmists' needs! Another best-fit (groan) term for this analysis is "Method of Least Squares".**

In this upcoming video, Toby shows a graphic with a dozen or so different highly alarming climate graphs and then shows the subterfuge behind each (or most of them). All of them are single variable attempted correlations of supposed climate trends to time, as in "The sky is falling!".
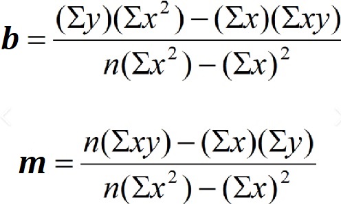
The math: You've got a graph like the one above, and you want to find the "best-fit" curve, often a line, to keep things simple. What's the best fit? Well, you 'd probably want to minimize the average error (distance from the y-values of the points) from said line. What line?! Why, mx + b, of course. Every line can be written in this slope and y-intercept (where the line would cross the y-axis) fashion. Yeah, but we don't know m and we don't know b! Right, that's the point, but what we DO KNOW is all of the many x and y values of our observational (the case with the climate) or experimental data. Call the points (x1, y1), (x2, y2), etc, or (xn, yn), where n goes from 1 to the last one of your data points. These are all KNOWN, keep in mind.
So, you take the difference between each point's actual yn value and the y from y = mxn + b. Yeah, but you don't know the equation for that line. Just humor me, and pretend we do. That's how mathematicians think. (It works.) Let's sum up all the differences over all those points, between the actual y's that we've got and the y's were they on the line and minimize that sum to get the best-fit line. Those differences will each be yn - (mxn + b).
Well, a couple of things crop up. First, numbers below said line and others above might start cancelling each other out - they'd make a line look like a great fit, when the data is all over the place. OK, then, just square these differences to get rid of the negatives. Do we need to take the square root later though? No, we don't, because we really don't care about the total sum of differences in the end but just about minimizing such. That square root would make the math messy. Nobody likes that, even, no, especially, the geeks.
What about that minimization thing? We want to find that line, the "m" and the "b" that gives us the least (see?) sum of these squares (see?). We've got one long function with lots of constants we know, the data pairs (xn, yn), with m and y being variables. How do we minimize a function? Take its derivative, and set it equal to 0! That's not me shouting, that's a Professor from untold years ago shouting, because, by George, we got it and were saying it with him.
The derivative*** of a function gives the slope of that function, and, unless said function is itself a line, the derivative is a function itself. When we are at a maximum or minimum, the slope of the function at that coordinate(s) = 0. So we solve for the coordinate(s) such that the derivative = 0. Wait which is it, max or min? Well, we'd have to take the 2nd derivative, that is, the derivative of the 1st derivative function. That 2nd function tells the slope of the slope curve. If it's negative at that coordinate(s), well it's a maximum, because, going along, the slope is decreasing, from upwards though 0, and then downwards. Vice versa applies.
Ahaaa! Is that what Peak Stupidity's Title Bar, up for over 8 years now, is all about? Indeed, BUT, we put in the fancy Greek ฮด's (deltas) just to make it look more mathy. (Yes, welcome math geeks!) For a derivative of a function of one variable, the symbology for derivative has plain old English "d"'s instead. However, what we have in this Least Squares/Linear Regression problem IS a function of 2 variables (hence, the "(s)" written after "coordinate" above).

Remember that the function we're minimizing is NOT that line y = mx + b, but it's that sum of the squares of the differences between the yn's and the y's of the best-fit unknown line. It's a function of 2 variables, m and b. This can be imagined easily, as it looks like a 2-d surface, its height a function of the variables m and b on a plot on the paper.**** (See above, but you don't really NEED the color scheme unless your are one of those Alarmists. Then, it helps, a lot.) There is a lowest point on the surface, for which both m and b are minimum values.*****
To get these, we must take partial derivatives, one for each variable. Doing that means we treat one variable as a constant while we take the derivative of the function "with respect to" (important wording) the other. Partial derivatives make use of that small Greek ฮด's instead of "d".****** We set each of these resulting partial derivative functions = 0. We end up with 2 equations and 2 unknowns. This should be easy. Well, I'd forgotten that maybe I never did actually do this part in the past.

The calculations with all these various sums look like a lot of work, but one can see that they are perfectly made for use of a spreadsheet. That wouldn't be hard. Better yet, though, the spreadsheet programs have long, long had the Linear Regression functions built in them. Graph your stuff and right-click somewhere, and Wallah! - there's your best fit line. (Or if you want, a higher-order polynomial or maybe all kinds of things.) Computing power is nearly free!
That's what the Climate Alarmists do. They probably couldn't understand this math, but they can use spreadsheets. Wait, so is Peak Stupidity upset because these people are using the 200 y/o simple Linear Regression math to show us our bleak carbon-wrecked future? It seems perfectly scientific and all.
I'll put the short video up later today, and you'll see what they're up to. The Peak Stupidity reader likely already knows the form of lying to be addressed, but Tony Flenderson will explain it nicely. (Beats filling out HR D.I.E. paperwork.)
* Another, also simple-math-based method will be described herein, as learned during an on-line argument with an Unz Review commenter about ice mass at the Earth's poles.
** This term does not apply only to linear regression. It can be used for best fit polynomials, or I guess, whatever.
*** For a polynomial function, taking the derivative is a simple easy procedure.
**** Once you get to 3 variables or more, good luck imagining the function's shape. Certain drugs may help.
***** How do we know we'll get a minimum vs. a maximum with the Calculus here? Ahhhhh, well, it's got to be a minimum because [hand-waving ensues]... there is a reason within the math.
****** Could the value of Stupidity be a function of more than one variable - it's time right now - so we can use those fun ฮด's legitimately? Why not have a variable "d", which is distance from... the nearest border or coastline of California?
******************************************
[UPDATED 02/22 Eve.:] Added the 3-D plot graphic.
******************************************
******************************************
[UPDATED 02/23:] Updated the 2 equation graphic.
******************************************
Comments:
Moderator
Saturday - March 1st 2025 7:50AM MST
PS: Sorry for the very late reply, Adam. Yeah, I saw a few episodes with James Spader. There's something about that guy I don't like, but he seemed to be a good actor in the show. I remember now that I was using the over-the-air digital antenna a friend gave me to watch "The Office" episodes for a while. (That thing has long ago blown off the side of the chimney in the wind - got no idea where it went.) There were mixed up episodes, and some were those newer ones.
Adam Smith
Monday - February 24th 2025 12:34PM MST
PS: Good afternoon, Achmed!
Yeah, I didn't really watch the last couple seasons either. Though I do remember watching the final episode when Dwight and Angela get married.
Did you know that James Spader (Robert California) was office manager for season 7 replacing Steve Carell? (I just learned that the other day while I was looking for photos of Toby.) So apparently I missed all of season 7.
๐ผ ๐ข๐ ๐๐ ๐โ๐๐ก๐๐ โ๐๐ ๐๐ ๐กโ๐ '90๐ , ๐ด๐๐๐, ๐๐๐ ๐ ๐คโ๐๐๐.
๐ผ ๐๐๐ข๐๐ก ๐ผ ๐ข๐ ๐๐ ๐๐ฃ๐๐ โ๐๐๐ ๐กโ๐ ๐๐๐๐ก๐ข๐๐๐ ๐๐ก โ๐๐ ๐กโ๐๐.
I doubt I've used a tenth of the features available in photoshop or gimp. I think the first version of photoshop I ever used was photoshop 3. I know I used photoshop 4. I had a copy of 5 but never used it because I do remember making the leap from 4 to 6. I used 7 for a while (mostly to do texture art for some video games I was tinkering with)(grand theft auto 3 and 4 and tony hawk's pro skater) before moving to photoshop 8. (They call it cs. I call it 8.)
But that's the last photoshop I've ever used. (And I was still using it when Mrs. Smith and I met.) Never needed anything more than that. The latest versions of photoshop are subscription based. I can't imagine paying $60/month to use photoshop.
But gimp works just fine. I hear they're coming out with gimp 3.0 soon. (or maybe they already have?) My Debian install came with gimp 2.10.34 so that's what I'm using.
So, uh, yeah... That's about all I have to say about photoshop. I guess. And it's too beautiful here today to be sitting here pushing these silly little buttons so I'm going to go run a few errands and such.
I hope you have a great afternoon. Happy Monday! โฎ๏ธ
Yeah, I didn't really watch the last couple seasons either. Though I do remember watching the final episode when Dwight and Angela get married.
Did you know that James Spader (Robert California) was office manager for season 7 replacing Steve Carell? (I just learned that the other day while I was looking for photos of Toby.) So apparently I missed all of season 7.
๐ผ ๐ข๐ ๐๐ ๐โ๐๐ก๐๐ โ๐๐ ๐๐ ๐กโ๐ '90๐ , ๐ด๐๐๐, ๐๐๐ ๐ ๐คโ๐๐๐.
๐ผ ๐๐๐ข๐๐ก ๐ผ ๐ข๐ ๐๐ ๐๐ฃ๐๐ โ๐๐๐ ๐กโ๐ ๐๐๐๐ก๐ข๐๐๐ ๐๐ก โ๐๐ ๐กโ๐๐.
I doubt I've used a tenth of the features available in photoshop or gimp. I think the first version of photoshop I ever used was photoshop 3. I know I used photoshop 4. I had a copy of 5 but never used it because I do remember making the leap from 4 to 6. I used 7 for a while (mostly to do texture art for some video games I was tinkering with)(grand theft auto 3 and 4 and tony hawk's pro skater) before moving to photoshop 8. (They call it cs. I call it 8.)
But that's the last photoshop I've ever used. (And I was still using it when Mrs. Smith and I met.) Never needed anything more than that. The latest versions of photoshop are subscription based. I can't imagine paying $60/month to use photoshop.
But gimp works just fine. I hear they're coming out with gimp 3.0 soon. (or maybe they already have?) My Debian install came with gimp 2.10.34 so that's what I'm using.
So, uh, yeah... That's about all I have to say about photoshop. I guess. And it's too beautiful here today to be sitting here pushing these silly little buttons so I'm going to go run a few errands and such.
I hope you have a great afternoon. Happy Monday! โฎ๏ธ
Moderator
Monday - February 24th 2025 10:59AM MST
PS: I remember now what I was going to write you, Adam. I never watched most of the episodes of the last couple seasons of The Office. I didn't recognize that scene, with Creed as the new boss or whatever that was. The show got kind of silly at the end, like a lot of them do.
Nice job with the graphics though!
Nice job with the graphics though!
Moderator
Sunday - February 23rd 2025 6:21PM MST
PS: I used Photoshop in the '90s, Adam, for a while. I doubt I used even half the features it had then.
I did download gimp at one point - I think I have it on my regular computer. I'm surprised that MS-Paint can do a lot of what I want.
I did download gimp at one point - I think I have it on my regular computer. I'm surprised that MS-Paint can do a lot of what I want.
Adam Smith
Sunday - February 23rd 2025 1:34PM MST
PS: Hello again...
๐ต๐๐๐๐ข๐ ๐ ๐๐ก'๐ ๐๐๐๐ ๐ ๐คโ๐๐๐...
https://i.ibb.co/SwNjXXXY/Photoshop8.jpg
My how time flies. โฎ๏ธ
๐ต๐๐๐๐ข๐ ๐ ๐๐ก'๐ ๐๐๐๐ ๐ ๐คโ๐๐๐...
https://i.ibb.co/SwNjXXXY/Photoshop8.jpg
My how time flies. โฎ๏ธ
Adam Smith
Sunday - February 23rd 2025 1:25PM MST
PS: Greetings,Achmed!
https://www.gimp.org/
https://i.ibb.co/1SBQ2yx/Same-Picture-Original.jpg
Tailor made for PeakStupidity as this one is a little too specific to find on the interwebs. Hell, I would imagine that most people creating memes have never even heard of Toby/Tony Heller.
Gimp works just as well as photoshop 7 or 8 (the last versions of photoshop I've used) but it does things a little differently. I have installed photoshop on linux (using wine) in the past but gimp is native to linux and is even included in a standard debian 12 install. I guess if I really had a need for photoshop I'd install it, but gimp works just fine. At this point I'm probably more used to it than photoshop. (Because it's been a while.)
https://www.winehq.org/
Cheers! โฎ๏ธ
https://www.gimp.org/
https://i.ibb.co/1SBQ2yx/Same-Picture-Original.jpg
Tailor made for PeakStupidity as this one is a little too specific to find on the interwebs. Hell, I would imagine that most people creating memes have never even heard of Toby/Tony Heller.
Gimp works just as well as photoshop 7 or 8 (the last versions of photoshop I've used) but it does things a little differently. I have installed photoshop on linux (using wine) in the past but gimp is native to linux and is even included in a standard debian 12 install. I guess if I really had a need for photoshop I'd install it, but gimp works just fine. At this point I'm probably more used to it than photoshop. (Because it's been a while.)
https://www.winehq.org/
Cheers! โฎ๏ธ
Moderator
Sunday - February 23rd 2025 12:59PM MST
PS: Oh, you made it, Adam? Very nice job then. I'll put that up once I shrink to fit. Which software do you use for photo editiing?
Adam Smith
Saturday - February 22nd 2025 10:47PM MST
PS: Good evening, Achmed!
https://nyulangone.org//images/doctors/h/heller/1518592567/toby-l-heller-thumb.jpg
Yeah... That's not what I was expecting to find when I googled ๐๐๐๐ฆ ๐ป๐๐๐๐๐. (The world is full of surprises.)
๐โ๐๐๐๐ ๐๐๐ ๐กโ๐๐ก ๐๐๐๐.
https://tinyurl.com/2k5medk3
You're welcome, Achmed. It took me a couple minutes to figure out how to work with the curves on the pages and to leave Pam's thumb tips intact, but I've got it down now.
Completely off topic, but I have some wonderful news!
(Well, wonderful for me, anyway...)
https://yama-roku.net/en
https://www.youtube.com/watch?v=9GcXmr_nVew
Mrs. Smith was watching some show one day about people who do things in old traditional ways when we came across this Japanese guy who makes his own barrels to ferment (what might be the world's best?) soy sauce in. (Fifth generation family recipe. Only 1% of the soy sauce in Japan is made this way.) It was then that we realized that neither of us had ever tasted real, high quality, soy sauce. And because Mrs. Smith has been meaning to add some Asian cooking to her repertoire I ordered some...
https://www.ebay.com/itm/126724246548
I am very pleased to report that this stuff rocks! Our order arrived from Japan on January 15th and we've been eating delicious Ching Chong like once a week ever since.
Not quite as exciting but still very tasty...
https://www.walmart.com/ip/WONDERFUL-NO-SHELL-JALAPENO-LIME-PISTACHIOS-11oz-BAG/5276045466
I impulse bought a bag like a week ago. They're awesome!
(Halfway through my second bag now. Love 'em.)
And as long as I'm sharing some good news...
When I plugged Baby Girl's bucket in to the meter the other day I found out that it was not drawing power. Fortunately, when I took it apart I found that the internal connector had somehow come unplugged. (It's almost like it might not have been properly connected at the factory or something? But whatever.) After a three minute fix, she was back in business.
So yeah. Not like amazing news or anything (except for the soy sauce!) but still fun.
So Happy ๏ผs๏ผSaturday evening!๏ผ/s๏ผ Sunday Morning!
I hope you have a great rest of the weekend. โฎ๏ธ
https://nyulangone.org//images/doctors/h/heller/1518592567/toby-l-heller-thumb.jpg
Yeah... That's not what I was expecting to find when I googled ๐๐๐๐ฆ ๐ป๐๐๐๐๐. (The world is full of surprises.)
๐โ๐๐๐๐ ๐๐๐ ๐กโ๐๐ก ๐๐๐๐.
https://tinyurl.com/2k5medk3
You're welcome, Achmed. It took me a couple minutes to figure out how to work with the curves on the pages and to leave Pam's thumb tips intact, but I've got it down now.
Completely off topic, but I have some wonderful news!
(Well, wonderful for me, anyway...)
https://yama-roku.net/en
https://www.youtube.com/watch?v=9GcXmr_nVew
Mrs. Smith was watching some show one day about people who do things in old traditional ways when we came across this Japanese guy who makes his own barrels to ferment (what might be the world's best?) soy sauce in. (Fifth generation family recipe. Only 1% of the soy sauce in Japan is made this way.) It was then that we realized that neither of us had ever tasted real, high quality, soy sauce. And because Mrs. Smith has been meaning to add some Asian cooking to her repertoire I ordered some...
https://www.ebay.com/itm/126724246548
I am very pleased to report that this stuff rocks! Our order arrived from Japan on January 15th and we've been eating delicious Ching Chong like once a week ever since.
Not quite as exciting but still very tasty...
https://www.walmart.com/ip/WONDERFUL-NO-SHELL-JALAPENO-LIME-PISTACHIOS-11oz-BAG/5276045466
I impulse bought a bag like a week ago. They're awesome!
(Halfway through my second bag now. Love 'em.)
And as long as I'm sharing some good news...
When I plugged Baby Girl's bucket in to the meter the other day I found out that it was not drawing power. Fortunately, when I took it apart I found that the internal connector had somehow come unplugged. (It's almost like it might not have been properly connected at the factory or something? But whatever.) After a three minute fix, she was back in business.
So yeah. Not like amazing news or anything (except for the soy sauce!) but still fun.
So Happy ๏ผs๏ผSaturday evening!๏ผ/s๏ผ Sunday Morning!
I hope you have a great rest of the weekend. โฎ๏ธ
Moderator
Saturday - February 22nd 2025 8:52PM MST
PS: Ha, so I'm not the only one that noticed the resemblance, Adam. Thanks for that meme.
I see that Toby can be a girl's name - no tranny there.
Toby L. Heller, PA has got a nice rack, but you're not gonna see it during ...
Specialty: Colorectal Surgery
I see that Toby can be a girl's name - no tranny there.
Toby L. Heller, PA has got a nice rack, but you're not gonna see it during ...
Specialty: Colorectal Surgery
Adam Smith
Saturday - February 22nd 2025 8:43PM MST
PS: Good evening, everyone!
https://i.ibb.co/qFYkF2MQ/Same-Picture.jpg
https://www.salus.edu/student-stories/2019/04/second-year-physician-assistant-student-toby-heller.html
https://nyulangone.org/doctors/1518592567/toby-l-heller
Cheers! โฎ๏ธ
https://i.ibb.co/qFYkF2MQ/Same-Picture.jpg
https://www.salus.edu/student-stories/2019/04/second-year-physician-assistant-student-toby-heller.html
https://nyulangone.org/doctors/1518592567/toby-l-heller
Cheers! โฎ๏ธ
Moderator
Saturday - February 22nd 2025 4:08PM MST
PS: "And that's often not a bad assumption, if the relative uncertainty in the ordinate (y) is much greater than the relative uncertainty in x."
In this case, Mr. Anon, I think that holds. These graphs that Mr. Heller goes over all have time (in year AD) as the x coordinate. i.e., they are telling us (you'll see in one of his examples) that the number of 90F+ days in this one town in Ohio(?) is this integer for this year, the latter, well both of them in this case, having no tolerance to them.
In this case, Mr. Anon, I think that holds. These graphs that Mr. Heller goes over all have time (in year AD) as the x coordinate. i.e., they are telling us (you'll see in one of his examples) that the number of 90F+ days in this one town in Ohio(?) is this integer for this year, the latter, well both of them in this case, having no tolerance to them.
Moderator
Saturday - February 22nd 2025 4:05PM MST
PS: I tried to put it into words as much as I could, SafeNow. My math is pretty rusty too. I thought for sure the solving of the 2 equations (partial derivatives wrt m, b = 0) would be easy, but I could not remember how to deal with those Sigmas (sums). It's probably common sense.
Additionally, I was too lazy to put all of the equations down, hence straight from wording about minimization to the graphic with the solution.
I can do more, handwaving, however. ;-}
Additionally, I was too lazy to put all of the equations down, hence straight from wording about minimization to the graphic with the solution.
I can do more, handwaving, however. ;-}
Mr. Anon
Saturday - February 22nd 2025 1:50PM MST
PS
This all assumes that there is no uncertainty in the abscissa (the x coordinate) - that x is perfectly known or can be perfectly measured. And that's often not a bad assumption, if the relative uncertainty in the ordinate (y) is much greater than the relative uncertainty in x.
A more advanced treatment is a total least squares fit, in which a function is calculated that minimizes the squared deviations in both x and y. There's no simple formula for it, as the one shown above, but it can be done numerically.
This all assumes that there is no uncertainty in the abscissa (the x coordinate) - that x is perfectly known or can be perfectly measured. And that's often not a bad assumption, if the relative uncertainty in the ordinate (y) is much greater than the relative uncertainty in x.
A more advanced treatment is a total least squares fit, in which a function is calculated that minimizes the squared deviations in both x and y. There's no simple formula for it, as the one shown above, but it can be done numerically.
SafeNow
Saturday - February 22nd 2025 12:58PM MST
PS
I was a strong math student, but after eons of non-use, that part of my brain is dead. Now, after reading through a math presentation like this essay, my reply is: โPlease tell me IN WORDS the idea you are communicating.โ But wait, I think magic words are actually lurking in the essay. This is the part where Mr. Moderator says that the data are over the place, but most people will look at the line, and so โall over the placeโ disappears. Thatโs it?
I realize I am being dismissive of a great math presentation when I ask for words, and I apologize. The weakness is my own.
I was a strong math student, but after eons of non-use, that part of my brain is dead. Now, after reading through a math presentation like this essay, my reply is: โPlease tell me IN WORDS the idea you are communicating.โ But wait, I think magic words are actually lurking in the essay. This is the part where Mr. Moderator says that the data are over the place, but most people will look at the line, and so โall over the placeโ disappears. Thatโs it?
I realize I am being dismissive of a great math presentation when I ask for words, and I apologize. The weakness is my own.